NCS 2025 | SciToolAgent:一种由知识图谱驱动的多工具集成科学智能体
今天介绍的这项工作来自 Nature Computational Science。该文介绍了一种面向科学研究的新型智能体系统SciToolAgent,其核心目标是在生物、化学与材料科学等领域,实现大规模科研工具的自动化集成与协同使用。随着科研工具数量和复杂度的持续增长,单纯依赖人工或简单的大语言模型提示已难以高效完成多步骤、跨工具的科学任务。SciToolAgent通过引入科学工具知识图谱,显式刻画工具之间的功能关系、输入输出依赖与安全属性,从而为复杂科研问题提供结构化、可解释的工具规划能力。该文章系统阐述了SciToolAgent的整体架构与关键技术,包括基于知识图谱的工具链规划、多工具顺序执行机制以及贯穿全流程的安全审查模块。在覆盖531个问题的综合评测基准上,该系统在工具规划准确率和最终答案准确率方面均显著优于现有方法。多个真实科研案例进一步展示了其在蛋白质设计、化学反应性预测、化学合成分析以及金属有机框架材料筛选等复杂场景中的实用价值。总体而言,该文不仅提出了一种可扩展的多工具科学智能体框架,也为大语言模型在严肃科学研究中的安全、可靠应用提供了新的思路,对推动科研流程自动化与降低专业工具使用门槛具有重要参考意义。

获取详情及资源:
- 📄 论文: https://www.nature.com/articles/s43588-025-00849-y
- 💻 代码: https://github.com/hicai-zju/scitoolagent
0 摘要
科学研究日益依赖高度专业化的计算工具,然而要高效地使用这些工具通常需要深厚的领域知识。尽管大语言模型在工具自动化方面展现出良好前景,但在复杂科学工作流中,它们仍难以实现多种工具的无缝集成与协同调度。该文提出了SciToolAgent,一种由大语言模型驱动的智能体系统能够在生物学、化学和材料科学等领域自动化调用和管理数百种科学工具。SciToolAgent的核心在于引入科学工具知识图谱,通过基于图的检索增强生成机制实现智能化的工具选择与执行。同时,该系统还集成了完善的安全检查模块,以确保科研工具使用过程中的责任性与伦理性。在精心构建的评测基准上进行的大量实验表明,SciToolAgent在整体性能上显著优于现有方法。蛋白质工程、化学反应性预测、化学合成以及金属有机框架材料筛选等案例研究进一步验证了SciToolAgent在自动化复杂科学工作流方面的能力,使先进的科研工具能够同时服务于专家与非专家群体。
1 引言
科学研究日益依赖用于自动化关键任务的专用计算工具,这些任务涵盖从数据分析到结果可视化的各个环节。尽管此类工具已成为推动科学发现不可或缺的基础设施,但其不断增长的复杂性与多样性也显著提高了使用门槛。例如,化学研究人员通常需要使用多种特定工具来完成分子模拟、性质预测和化合物设计等工作。对于初入领域的研究者而言,往往缺乏有效使用这些强大工具所需的技术能力,从而在一定程度上阻碍了科研进展。为应对这一挑战,一种具有前景的思路是借助人工智能技术,对科学工具的使用过程进行高效的组织与调度。
作为前沿的人工智能方法,大语言模型在自然语言理解和复杂推理等多个领域展现出前所未有的能力。近期研究表明,将大语言模型与领域特定的科学工具相结合已取得了显著进展。在化学领域,包括Coscientist、ChemChat、ChemCrow和CACTUS在内的一系列系统,通过大语言模型与工具的集成实现了化学研究的自动化。在生物科学中,类似的进展同样显现出来,如GeneGPT、CRISPR-GPT、GenoAgent和ProtAgents等系统,增强了大语言模型在RNA测序、基因编辑和蛋白质发现等专业任务中的能力。基于工具增强的大语言模型应用范围还进一步扩展到材料发现、电子设计以及力学工程等方向。这些系统通常基于如ReAct等成熟框架,利用上下文学习机制将大语言模型的推理能力与工具执行相结合。然而,现有方法仍面临两个关键局限:一是可调用的工具集合较为受限,通常少于20种,从而限制了其在更广泛科研场景中的适用性;二是在自动化科研过程中,往往忽视了安全性与伦理性等至关重要的问题。
当前依赖朴素上下文学习的智能体框架在应对复杂科学问题时往往表现受限,其根本原因在于难以刻画和利用大量工具之间内在的依赖关系。这类依赖关系主要体现为顺序性特征,即某一工具的输出往往作为下一工具的输入,从而对执行顺序提出了严格要求。如果未能正确建模这些相互依赖的关系,在处理多步骤科学工作流时就容易产生次优解,并显著降低整体效率。
针对上述问题,该文提出了SciToolAgent,一种能够将大规模、多样化科学工具与大语言模型有效结合的智能体框架。如图1所示,SciToolAgent利用先进的大语言模型分别充当规划器、执行器和总结器,从而实现科学任务中多工具的自主规划、顺序执行与结果汇总。该框架的核心创新体现在两个方面:一是构建了覆盖生物学、化学和材料科学等领域、包含数百种工具的科学工具知识图谱SciToolKG,用于编码工具之间的关系;二是引入了集成式安全模块,以保障科学研究过程的责任性与合规性。通过显式建模工具的依赖关系、前置条件和兼容性,SciToolKG能够支持更为合理的工具选择与组合。同时,安全模块对整个执行流程进行持续监控,以防止潜在有害结果的产生,从而弥补了现有框架在自动化科学发现中常常忽视伦理风险的不足。
在评测方面,研究基于自行构建的科学工具评测基准SciToolEval对SciToolAgent进行了系统评估。该基准包含531个覆盖多个领域和不同复杂度层级的科学问题。定量分析结果表明,SciToolAgent在整体准确率上达到94%,相比当前最先进的方法提升约10%。此外,通过蛋白质设计与分析、化学反应性预测、化学合成与分析以及金属有机框架材料筛选等四类案例研究,进一步验证了SciToolAgent在保持结果可靠性与准确性的同时,自主编排复杂多工具工作流的能力。

图1|SciToolAgent总体概览。 a,该文所使用的工具集合,其中既包括通用工具,也包括生物、化学和材料科学领域中常用的专业工具。其中ASE指原子模拟环境。b,SciToolKG的结构示意图,该知识图谱包含了每种工具的多维信息,例如输入与输出格式、具体功能、安全等级等内容。c,SciToolAgent的整体工作流程。在接收到用户查询后,基于大语言模型的规划器利用SciToolKG进行检索增强生成,从而构建一条工具链;随后,基于大语言模型的执行器按照既定顺序依次调用并执行这些工具。执行过程中会通过检索安全防护数据库来完成安全检查,以确保结果符合伦理与安全要求。最后,基于大语言模型的总结器对执行结果进行汇总与评估,并在必要时促使规划器生成新的工具链。最终得到的答案将被写入记忆模块,作为下一次查询的上下文信息。
2 结果
2.1 SciToolAgent概述
SciToolAgent是一种基于大语言模型的智能体系统,旨在克服现有科学工具集成方法中的局限性。传统框架通常依赖较为朴素的上下文学习方式,难以刻画和利用工具之间的内在依赖关系,从而在复杂科学任务中表现受限。SciToolAgent通过引入科学工具知识图谱SciToolKG,在大语言模型与科学工具之间建立起有效的中介机制,从根本上缓解了这一问题。SciToolAgent所涉及的工具集合既包括搜索引擎、代码解释器等通用工具,也涵盖了生物学、化学和材料科学领域中常用的专业科研工具。为刻画大量工具之间复杂而细致的关系,研究中人工构建了SciToolKG,其中系统性地整合了每种工具的多种关键信息。该知识图谱在规划阶段发挥着核心作用,使大语言模型能够在工具选择与组合时作出更为合理和充分的决策,从而提升问题求解的整体效果。SciToolAgent的实现流程如图1c所示,主要由三个由大语言模型驱动的核心组件构成,即工具规划器、工具执行器和结果总结器。规划器基于SciToolKG采用检索增强生成的方法,为给定查询生成一条可行的工具链。执行器按照规划顺序依次调用工具,并在出现错误时进行重试。同时,系统引入了基于检索的安全检查模块,用于识别工具执行过程中可能产生的潜在有害结果。总结器负责对各工具的输出进行整合与综合,生成最终答案。当当前工具链未能成功解决问题时,总结器会触发规划器对工具链进行调整和优化,以进一步提升问题求解的成功率。
2.2 SciToolEval上的性能表现
数据集:为定量评估SciToolAgent的性能,研究构建了一个综合性的科学工具评测数据集SciToolEval,共包含531个来自不同科学领域的问题,涵盖分子性质预测、蛋白质分析以及材料检索等任务。数据集的构建过程在方法部分的“Construction of SciToolEval”中进行了详细说明。最终数据集被划分为两个层级:Level-1包含152个仅需单一工具即可解决的问题,Level-2则包含379个需要多种工具协同完成的问题。
**评测指标:**在评估方法上,研究采用了三项指标来全面衡量SciToolAgent的有效性。其一是通过率,用于衡量成功完成查询的比例;其二是工具规划准确率,用于评估智能体生成的工具选择与执行顺序是否与人工专家验证的参考方案一致;其三是最终答案准确率,通过将智能体生成的结果与标准答案进行比较来判断输出的正确性。在工具规划准确率和最终答案准确率的评估中,均使用GPT-4o对生成结果与真实答案之间的相似度进行判定。
**对比方法:**性能对比中选取了多种当前具有代表性的大语言模型工具智能体,包括ReAct、Reflexion、CACTUS和ChemCrow。其中,ReAct通过“思考—行动—观察”的迭代过程将模型推理与工具调用结合;Reflexion在此基础上引入反馈机制,融入自我评估、自我反思和记忆等组件;ChemCrow和CACTUS则是在ReAct框架下,分别面向化学合成和材料科学构建的领域专用智能体。尽管这些方法原本使用的工具集规模有限,研究中仍将其扩展为完整工具集合,以保证对比的公平性。
**基础模型设置:**在实验中,规划器、执行器和总结器分别采用不同的大语言模型作为基础模型,包括商业模型OpenAI的GPT-4o(默认)和o1,以及先进的开源模型Qwen2.5-72B。这些模型均通过官方API并在统一配置下调用。此外,研究还考察了参数规模更小但推理效率更高的开源模型Qwen2.5-7B。鉴于其推理能力受限,该模型通过面向工具学习的专用指令进行了微调,从而用于评估SciToolAgent在不同模型规模和资源约束条件下的性价比表现。
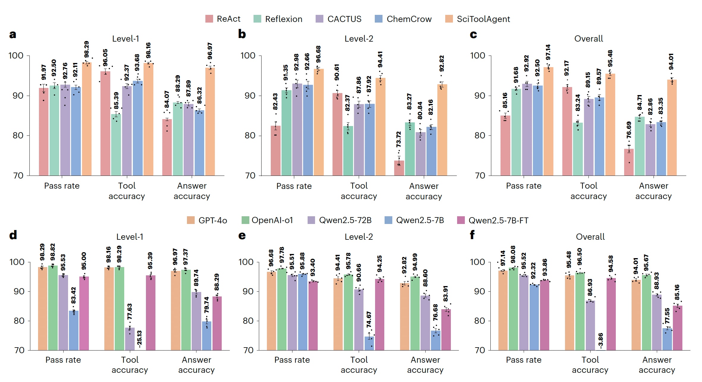
**结果分析:**图2a–c展示了五种基于GPT-4o的智能体在SciToolEval不同层级任务上的表现,包括ReAct、Reflexion、ChemCrow、CACTUS和SciToolAgent。结果表明,SciToolAgent在所有评测指标上均优于其他方法。在单工具任务中,智能体需要从候选工具中选择合适工具、正确执行并总结结果;而在多工具任务中,则还需要具备多工具选择、合理规划和按顺序执行的能力。SciToolAgent在多工具问题上的优势尤为明显,其最终答案准确率相比ReAct和Reflexion分别提升约20%和10%,相较于ChemCrow和CACTUS也在两个层级上取得了约10%至12%的绝对提升。从经验观察来看,ReAct和Reflexion在面对复杂多工具任务和大规模候选工具集合时,在工具规划和执行方面均存在明显局限,主要原因在于缺乏全局性的任务规划策略。尽管Reflexion通过反馈机制提升了通过率和准确率,但其大量依赖试错的过程反而导致工具规划准确率下降。相比之下,SciToolAgent借助SciToolKG显著提升了工具规划的准确性,通过引入明确的工具链结构,能够从全局角度逐步规划任务,减少试错成本,并在执行阶段帮助模型聚焦于当前子任务,从而进一步提高执行准确率。
图2d–f展示了在SciToolAgent框架下不同基础模型的性能表现。OpenAI o1在Level-1和Level-2任务的各项指标上均取得最佳结果,GPT-4o紧随其后,在准确率略有下降的同时仍保持了较强的整体性能。Qwen2.5-72B表现具有竞争力,但在工具规划准确率和最终答案准确率上略有下降;而Qwen2.5-7B整体性能相对较低,尤其在工具规划方面暴露出其在复杂工具集成能力上的不足。不过,基于SciToolKG生成数据进行微调后的Qwen2.5-7B版本性能显著提升,约提高10%,并在结果上接近更大规模模型Qwen2.5-72B。综合准确率与成本因素,GPT-4o在各项指标上取得了接近最优的表现,同时API成本低于o1,因此被选作SciToolAgent实现中的默认基础模型。更多实验结果在补充材料第3节中给出。

图2|不同智能体与基础模型的对比结果。 a–c,不同智能体在SciToolEval数据集上的性能表现,分别对应Level-1任务(a)、Level-2任务(b)以及整体性能(c)。结果显示,所提出的SciToolAgent在所有评测指标和不同难度层级上均持续优于各类基线方法。d–f,SciToolAgent框架下不同基础模型的性能比较,分别展示了Level-1任务(d)、Level-2任务(e)以及整体性能(f)。其中,OpenAI o1模型取得了最佳性能,而GPT-4o在准确率与使用成本之间实现了较优的平衡。图中数据均以平均值形式给出,实验重复次数为n = 5,误差线表示均值的标准误。
2.3 案例研究
为进一步验证SciToolAgent在实际科研场景中的实用性,研究使用该系统完成了四类真实世界的科学研究任务,分别包括蛋白质设计与分析、化学反应性预测、化学合成与分析以及金属有机框架材料筛选。通过这些案例可以系统展示SciToolAgent在不同学科领域中自动规划和执行多工具工作流的能力。更为详细的案例分析与方法对比结果在补充材料第5节中进行了说明。
**蛋白质设计与分析。**蛋白质设计在药物发现、酶工程和合成生物学等生物学研究方向中具有重要意义。然而,设计具备特定性质的蛋白质本身是一项高度复杂的任务,通常需要将多种生物信息学工具结合使用,以完成序列生成、折叠预测和结构分析等步骤。传统工作流程对研究者的专业背景要求较高,需要具备在不同专用工具之间切换和协同操作的经验。SciToolAgent通过自主调度和组合所需工具,对这一流程进行了有效简化,从而实现了较为完整的蛋白质设计与分析。
在该案例中,研究展示了SciToolAgent如何管理一个多步骤的蛋白质设计流程。在接收到用户查询后 (图3a),系统首先利用Chroma根据预设的二级结构类型生成蛋白质序列,例如α螺旋、β折叠或混合结构。随后,通过ProteinForceGPT对生成序列的展开力和能量进行计算,以评估其力学稳定性。接下来,系统使用ESMFold预测蛋白质的三维结构,并借助ProDy中实现的各向异性网络模型对振动频率进行计算,从而分析结构的动力学稳定性。最后,利用BioPython中的DSSP模块对蛋白质的二级结构组成进行分析,以验证结构元素的合理性。该流程得到的结果表明 (图3b,c),SciToolAgent能够在无需人工干预的情况下,自动编排并执行多个工具,并生成可靠的分析结果。相比之下,基线方法ReAct和Reflexion由于工具选择不当或关键工具缺失,未能有效完成这一任务,具体分析见补充材料第4节。

图3|基于SciToolAgent的蛋白质设计与分析流程及结果。 a,输入查询、工具规划、工具链以及对应输出结果的整体概览。其中,CATH为蛋白质结构分类数据库。b,不同类别下生成的蛋白质序列,以及对应的展开力、能量和前十个振动频率。c,所生成蛋白质序列的三维结构预测结果。d,蛋白质中各类二级结构元素所占比例。
**化学反应性预测。**化学反应性的预测是药物设计和有机合成中的关键环节。准确判断化合物之间的反应行为,不仅可以加速新化合物的开发过程,还能够减少对高成本、劳动密集型实验的依赖。在该案例中,SciToolAgent被用于预测酰胺缩合反应的反应性,这是一类在有机化学中具有重要意义的反应类型。研究目标是基于分子特征对不同化学底物的反应性进行预测,并进一步识别在该任务中表现最优的机器学习算法。该研究所使用的数据集如图4c所示,包含了多种反应物组合及其对应的反应产物,并以254 nm紫外吸收条件下液相色谱面积百分比来量化产物的转化率。任务目标是将这些底物组合的反应性划分为低、中、高三类。
整体流程如图4a所示,首先由一个初始查询引导SciToolAgent使用不同的分子特征进行反应性预测,包括RDK指纹、Morgan指纹以及电性描述符,并选用如多层感知机等机器学习算法来评估不同特征的预测效果。SciToolAgent据此自动规划执行步骤,依次生成各类指纹和描述符,并在每一组特征上训练和测试MLP分类器。结果表明 (图4d),电性描述符在反应性预测任务中的表现优于其他分子特征。基于这一结果,后续查询进一步要求SciToolAgent比较不同机器学习算法在电性描述符特征下的性能表现,具体包括MLP、AdaBoost和随机森林分类器,如图4b所示。SciToolAgent据此生成新的执行计划,在相同特征集上依次测试不同算法,并评估其在反应性分类任务中的预测准确率。对比结果显示 (图4e),随机森林算法在所测试的方法中取得了最高的预测准确率,因此被认为是该任务的最优选择。值得注意的是,在完成这一任务过程中,ReAct方法出现了工具冗余的问题,而Reflexion则产生了幻觉现象,相关细节见补充材料第4节。

图4|基于SciToolAgent的机器学习化学反应性预测流程及结果。 a,输入查询、工具规划、工具链以及对应输出结果的整体概览。b,后续查询的整体概览,包括工具规划、工具链及相应输出结果。c,用于模型训练与测试的数据集。d,不同分子特征条件下的反应性预测准确率。e,不同机器学习算法在反应性预测任务中的准确率对比。图中数据均以平均值形式给出,实验重复次数为n = 8,误差线表示均值的标准误。
**化学合成与分析。**化学合成是化学研究的核心基础,在新化合物的设计与制备中发挥着关键作用,尤其在药物研发领域中具有不可替代的重要性。对反应结果进行准确预测,并全面理解合成产物的性质,是实现高效且安全药物设计的关键环节。在该案例中,研究展示了SciToolAgent如何自动化完成一条涵盖反应预测、产物表征、知识产权评估以及安全性分析在内的化学合成与分析流程。
第一个任务聚焦于水杨酸与乙酸酐之间的酯化反应。SciToolAgent如图5a所示,通过自主规划并按顺序调度所需工具,完成了这一多步骤流程。具体而言,系统首先使用RXN-for-chemistry工具预测反应产物,并以SMILES形式表示。随后,将产物的SMILES表示转换为SELFIES格式以保证兼容性,并借助分子描述生成工具BioT5+自动生成对应的文字说明。接着,系统利用专利检索工具在SureChEMBL数据库中对该产物的专利状态进行查询。最后,为评估产物的爆炸性风险,系统将SMILES转换为CAS编号,并从PubChem中检索相关的安全信息。上述分析结果汇总展示于图5b中。
此外,研究还对另一类反应进行了类似分析,即苯酚与氯气之间的氯化反应,如图5c所示。SciToolAgent在该任务中同样遵循类似的工作流程,首先完成反应产物的预测。然而,系统内部的安全检查模块在执行过程中识别出反应产物4-氯苯酚属于有害化合物,并及时发出了安全警告,指出该产物具有毒性,需要采取谨慎的操作方式和特定的安全防护措施。该内置安全机制在科研流程中具有重要意义,能够在早期阶段提醒潜在风险,从而避免研究人员意外接触有毒物质,并确保实验过程始终遵循安全规范。相比之下,ReAct和Reflexion在化学合成过程中均未引入安全检查机制,尽管能够预测反应结果,但未能识别苯酚氯化反应中产物的毒性风险,从而在实际应用中存在较大的安全隐患,相关细节见补充材料第4节。

图5|基于SciToolAgent的化学合成与分析流程及结果。 a,输入查询、工具规划、工具链以及对应输出结果的整体概览。b,水杨酸与乙酸酐反应的结果,包括生成产物及其对应的文字描述、专利信息和安全性信息。c,苯酚与氯气反应的结果,由于产物具有毒性,系统发出了安全警告。
**MOF材料筛选。**金属有机框架材料是一类具有晶态多孔结构的功能材料,在气体储存、催化、药物递送以及分离过程等多个领域具有广泛应用。在具体应用场景中,筛选性能最优的MOF材料通常需要同时考虑多项指标,例如较高的热稳定性和优异的吸附能力,这一过程往往复杂且耗时。在该案例中,研究展示了SciToolAgent如何基于预设条件,通过自动化方式完成MOF材料的筛选与分析,从而显著简化这一流程。
研究以MOFXDB中的一批MOF材料作为输入,整体工作流程如图6a所示。用户查询要求系统筛选出热稳定性高于400 ℃、CO₂吸附容量超过100 mg g−1且市场价格低于¥100的材料。针对这一需求,SciToolAgent自动生成执行计划,并通过一条工具链对MOF材料进行逐步筛选。首先,系统利用基于机器学习的预测模型MOFSimplify对每种MOF的热稳定性进行评估,并计算相应的稳定性评分。随后,通过分子模拟软件RASPA2预测其CO₂吸附能力。最后,系统进一步查询材料的价格信息。由于价格查询工具需要以CAS编号作为输入,SciToolAgent在此过程中先将MOF的结构数据由CIF格式转换为SMILES表示,再将SMILES转换为CAS编号,并据此访问商业化学数据库以获取对应的市场价格信息。
图6b汇总展示了该自动化筛选流程的部分结果。例如,在综合考虑热稳定性、CO₂吸附能力和价格三项条件后,SciToolAgent成功识别出TBAPy_Ti_Andres.cif作为满足所有预设标准的潜在优选材料。进一步的结构可视化结果如图6c所示,通过突出与稳定性和吸附性能相关的结构特征,为后续实验验证提供了有价值的参考依据。相比之下,ReAct在执行该任务时出现了输入错误,而Reflexion则产生了幻觉现象,未能可靠完成筛选过程,相关对比分析见补充材料第4节。

图6|基于SciToolAgent的MOF材料筛选流程及结果。 a,输入查询、工具规划、工具链以及对应输出结果的整体概览。b,筛选结果汇总,展示了各MOF材料的热稳定性、CO₂吸附容量以及市场价格,其中绿色对勾表示同时满足所有设定条件的MOF材料。c,所筛选MOF材料结构的可视化结果。
3 讨论与展望
SciToolAgent是一种由大语言模型驱动的智能体系统,旨在应对多领域高级科研中大规模科学工具集成所面临的挑战。其主要优势在于通过SciToolKG实现对多样化科学工具的统一整合,该知识图谱能够细致刻画工具之间的依赖关系、输入输出格式以及具体应用场景。以往基于大语言模型的框架往往受限于工具数量较少和任务规划策略较为简单,相比之下,SciToolAgent能够根据不同科学任务的具体需求,动态构建相应的工具链。这一能力使研究者可以将重复性或计算密集型步骤交由SciToolAgent完成,从而提升科研过程的可及性与效率,并同时服务于领域专家与非专家用户。
SciToolAgent的一个潜在局限在于SciToolKG知识图谱的人工构建过程。尽管该知识图谱能够有效捕捉工具之间的关系与依赖,但其可扩展性在一定程度上受限于工具信息整理与更新所需的人力成本。通过引入自动化方法,例如从科学文献中进行知识抽取或利用工具文档中的元数据,有望进一步提升SciToolKG的规模化构建能力与信息粒度。同时,随着科学研究的不断发展,持续将新兴工具与资源纳入知识图谱也将变得尤为重要。为增强系统的可扩展性,研究中提供了标准化的API和模板,以支持第三方工具以较低成本接入系统。未来版本还计划引入基于图形界面的注册方式,以降低缺乏编程经验的领域专家的使用门槛。
另一项挑战在于系统整体性能对底层大语言模型能力的依赖。尽管GPT-4o等商业模型展现出较强的综合表现,但在资源受限的环境中,其经济和技术成本可能难以承受。针对这一问题,相关实验表明,通过使用领域相关数据对开源模型进行微调,可以在一定程度上提升其性能,并缩小与商业模型之间的差距。然而,即便经过微调,Qwen2.5-7B-FT在复杂工具规划和多步推理任务上的表现仍明显弱于GPT-4o。
总体而言,尽管SciToolKG的可扩展性以及对商业大语言模型的依赖仍然存在挑战,SciToolAgent依然为复杂科学工作流的自动化提供了一个稳健的基础。未来研究将重点放在知识图谱维护过程的自动化、更多科学工具的集成以及开源大语言模型能力的进一步增强上,以推动高级科研工具的普及化。通过这些努力,SciToolAgent展示了由大语言模型驱动的智能体在简化和赋能科学发现方面的巨大潜力,使复杂而先进的科研工具能够被更广泛的用户群体所使用。