Nat. Rev. Chem. 2025 | 从发现到临床的PROTAC连接子设计经验总结
今天介绍的这项工作来自 Nature Reviews Chemistry。靶向蛋白降解作为一种不同于传统受体拮抗剂或酶抑制剂的治疗策略,近年来在药物研发领域受到高度关注。该文系统回顾了PROTAC从发现阶段到临床阶段的发展经验,重点聚焦连接子(linker)这一关键结构单元在整个研发过程中的核心作用。文章指出,尽管靶蛋白配体和E3连接酶配体的结构主要由各自的结合口袋决定,连接子却在很大程度上决定了PROTAC的降解效率、选择性、体内药代动力学行为以及最终能否实现口服给药。通过调控连接子的长度、柔性、构象限制程度以及官能团特征,研究人员不仅能够影响三元复合物的形成与稳定性,还可以显著改善溶解度、膜通透性和代谢稳定性等关键药物属性。该文章从早期探索阶段常用的柔性连接子出发,逐步讨论了连接子在三元复合物协同性、稳定性以及“钩效应”中的作用机制,并结合结构生物学和生物物理研究,阐明了连接子微小改动对降解行为产生的放大效应。同时,该文中还总结了高通量合成、DNA编码化合物库等实用策略在PROTAC命中化合物发现中的价值,以及在后续优化中如何平衡药效与理化性质。在更接近临床应用的层面,该文系统分析了影响PROTAC口服暴露的关键因素,包括溶解度、通透性、外排转运体和代谢稳定性,并强调连接子在调控这些性质中的独特作用。通过对多种已进入临床阶段的PROTAC案例进行回顾,该文章提炼出一系列具有普遍指导意义的设计原则,例如限制未被满足的氢键供体数量、引入适度的构象刚性以及合理利用“分子变色龙”特性等。总体而言,该文不仅总结了PROTAC连接子设计中的关键经验教训,也反映了这一领域从经验驱动逐步走向机制理解和理性设计的演进过程。对于从事靶向蛋白降解、小分子药物设计及相关转化研究的读者而言,该综述为理解PROTAC成功走向临床所需的结构与性质平衡提供了系统而深入的参考。

获取详情及资源:
0 摘要
靶向蛋白降解相比传统的受体拮抗剂或酶抑制剂,有望实现更高的治疗效力,并能够作用于以往被认为难以成药的靶点。这一优势推动了近年来对蛋白降解策略的快速关注和发展。在众多蛋白降解模式中,双功能降解剂,尤其是蛋白水解靶向嵌合体(PROTACs),尽管在实现口服生物利用度方面面临显著的理化性质挑战,仍已成为该领域中的核心技术形式。该文总结了迄今为止在PROTAC优化过程中获得的关键经验,重点讨论连接子区域在药理性质优化、口服生物利用度提升以及代谢归宿调控中的作用。同时该文章回顾了PROTAC从药理学研究工具逐步发展为成熟临床治疗手段的过程,并结合临床前研究数据以及首批进入临床阶段的PROTAC案例,提炼出对后续研发具有指导意义的经验与启示。
1 引言
尽管靶向蛋白降解作为一种药理作用机制早已有先例,例如选择性雌激素受体降解剂氟维司群,但近年来随着诱导邻近等新策略的出现,其应用潜力被显著拓展,由此引发了对靶向蛋白降解(TPD)的广泛关注。双功能降解剂,尤其是蛋白水解靶向嵌合体(PROTACs),是诱导邻近策略中的一个重要分支。利用PROTACs诱导蛋白之间的空间邻近,并通过靶蛋白泛素化及其后续降解来产生药理效应的概念,大约在2001年首次提出。此后该领域迅速发展,截至2025年4月,已有约30种PROTAC进入临床开发阶段。其中进展最快的是雌激素受体降解剂vepdegestrant(ARV-471)已公布Ⅲ期临床数据,同时进入Ⅲ期临床的还包括雄激素受体降解剂BMS-986365和布鲁顿酪氨酸激酶(BTK)降解剂BGB-16673。目前,PROTAC策略主要应用于肿瘤相关靶点,但其研究兴趣正逐步扩展至炎症和自身免疫疾病领域,如IRAK4,以及神经退行性疾病,如tau蛋白相关疾病,并 increasingly 指向以往被认为难以成药的靶点。
关于PROTAC的基本结构特征及其与药理作用机制之间的关系,已有大量文献进行了系统阐述。简而言之,PROTAC是一类由连接子将两个功能片段连接而成的双功能分子,其中一端与靶蛋白(POI)结合,另一端与E3泛素连接酶结合。通过同时结合靶蛋白和E3连接酶,PROTAC形成三元复合物,从而促进靶蛋白特定位点的泛素化,并最终经由泛素-蛋白酶体系统(UPS)实现降解 (图1a)。类似于抑制剂中使用的
与传统小分子抑制剂不同,PROTAC的药理作用并不依赖于持续的高靶点占据率,而是一种事件驱动型机制,只需短暂的靶点结合即可触发降解效应。因此,在理论上,实现有效靶点调控所需的占据比例远低于常规受体拮抗剂或酶抑制剂。基于这一机制,PROTAC相较于传统抑制剂具有多方面潜在优势。首先,其能够实现更深层次的通路抑制,例如对雄激素受体信号通路的抑制,并且可以同时消除靶蛋白的全部功能,包括非催化或支架功能,如IRAK4的支架作用。对于更新速率较慢的靶蛋白,TPD还可能带来更持久的药效学效应,例如RIPK2。其次,PROTAC有望在其母体配体的基础上实现更高的药理选择性,不仅来源于结合选择性的提升,还源于对特定结合伙伴的选择性降解,从而使原本具有多靶点活性的配体也能够被转化为选择性降解剂。此外,不同组织或细胞类型中E3连接酶表达差异,也可能进一步增强选择性。最后,由于PROTAC只需要实现结合而非功能性拮抗或抑制,该策略为处理以往具有挑战性甚至被视为“不可成药”的靶点提供了可能,例如病理性tau构象或STAT6。
然而,由于其双功能结构特征,PROTAC通常在分子量和理化性质上显著超出Lipinski规则或Veber规则等针对口服药物提出的经典设计指南。尽管静脉或皮下给药在某些治疗场景中具有可行性,口服给药仍然是最受青睐的给药途径。因此,如何克服口服生物利用度不足的问题,成为PROTAC在临床转化过程中必须面对的关键挑战。
针对特定治疗靶点,靶蛋白(POI)配体和E3连接酶配体的结构主要由各自蛋白的结合药效团所决定。相比之下,连接子虽然在实现预期的降解效力、疗效和选择性方面发挥关键作用,同时也为调控PROTAC整体性质提供了重要空间,使其能够在溶解度、膜通透性、代谢稳定性等方面获得改善,从而对口服生物利用度产生决定性影响。
连接子对PROTAC性质的影响此前已在多篇综述中有所讨论。该文在此基础上,重点围绕连接子从早期发现阶段到药物候选物阶段的演化过程展开讨论,系统分析不同研发阶段中连接子设计所需关注的具体问题,并总结连接子调控对PROTAC关键性质的影响,以及从临床前研究和首批进入临床的PROTAC中获得的经验教训。文中不对各实例所涉及的具体生物学背景作深入展开。

图1|PROTAC的基本结构、功能及药理特征。 a,PROTAC的结构示意图,由靶蛋白(POI)配体(绿色)、连接子(紫色)和E3泛素连接酶配体(蓝色)组成。该分子通过诱导靶蛋白与E3连接酶形成三元复合物,促进靶蛋白发生泛素化,并最终由蛋白酶体介导降解。b,典型的PROTAC剂量-反应曲线,展示其关键药理学参数。其中,
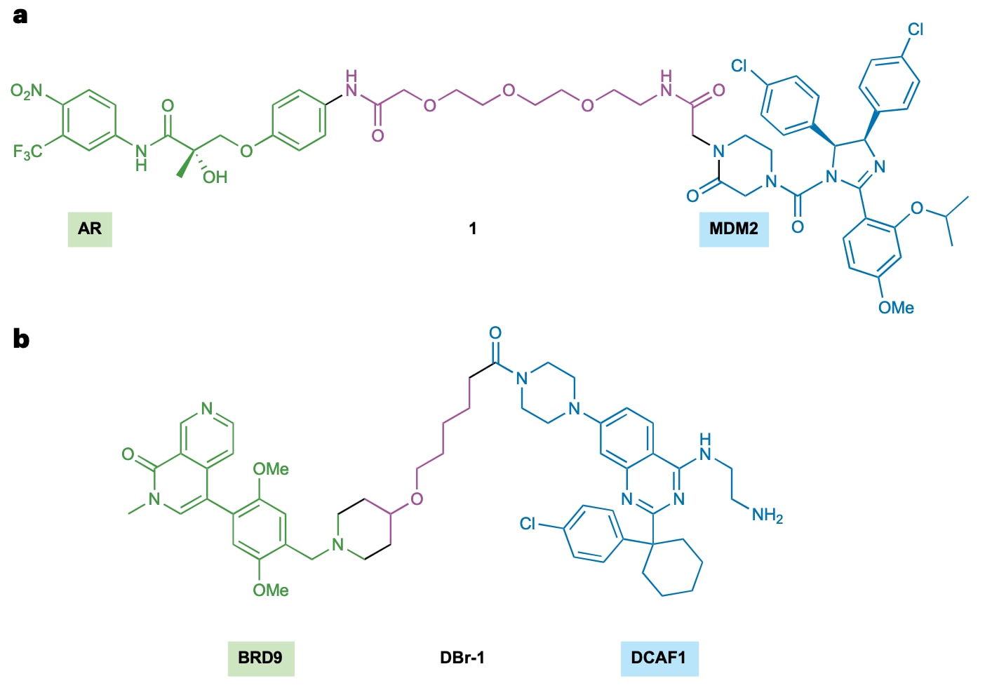
2 用于探索性PROTAC设计的柔性连接子
为了在体外表现出预期的药理活性,PROTAC必须能够进入细胞,与其对应的蛋白形成三元复合物,并诱导靶蛋白发生可降解的泛素化反应。在该技术模式的早期阶段,实现目标药理效应主要依赖于线性、柔性的碳链或聚乙二醇(PEG)连接子,典型代表是一类小分子PROTAC,即招募小鼠双微体蛋白2(MDM2)的雄激素受体降解剂1 (图2a)。通过系统性地调节这类柔性链段的长度,研究人员可以重点考察其与两端配体的连接方式、连接位置以及两者之间的空间距离,这一策略至今仍被广泛采用。
连接子的柔性使PROTAC形成的三元复合物能够采取多种构象,从而提高获得功能性降解效应的概率。因此,在评估包含新型E3连接酶配体和或新型靶蛋白配体的PROTAC时,柔性连接子具有不可替代的价值。近期报道的首个利用DCAF1的BRD9降解剂DBr-1便是这一策略的典型示例 (图2b)。在完成初步活性验证之后,可在先导化合物优化阶段逐步引入更为精巧且构象受限的刚性连接子。这类连接子通常具有更低的构象熵和更有利的理化性质,有助于限制三元复合物仅形成具有生产性的构象,从而进一步提升降解效力。

图2 | 柔性连接子有助于在特定E3连接酶与靶蛋白配对中验证PROTAC的药理学特性。 a, 早期小分子PROTAC化合物1的化学结构示意图,其中采用柔性的聚乙二醇(PEG)连接子将雄激素受体(AR)配体与小鼠双微体蛋白2(MDM2)配体连接。b, DBr-1的化学结构示意图,该分子是一种利用DDB1和CUL4相关因子1(DCAF1)的溴结构域蛋白9(BRD9)降解剂,其中使用了柔性的烃链连接子。所有结构均以颜色区分不同组成部分,其中靶蛋白(POI)配体为绿色,连接子为紫色,E3连接酶配体为蓝色。
3 连接子对三元复合物协同性与稳定性的影响
PROTAC介导的靶蛋白降解通常呈现钟形的剂量-反应曲线。随着PROTAC浓度升高,其与靶蛋白(POI)或E3连接酶的结合逐渐趋于饱和,从而促使非生产性的二元复合物占据主导地位,有效的三元复合物比例下降,这一现象被称为“钩效应”。因此,在PROTAC设计中,一个细微却至关重要的考量因素是其与相关蛋白之间的协同性
钩效应在体外实验中较为常见,尤其是在单一浓度条件下进行实验时需要加以重视;而在体内环境中,由于较难达到饱和浓度,其影响通常较小,但在存在药代动力学差异或化合物在低浓度下即出现陡峭钩效应时,仍可能构成例外。
协同性可以通过多种生物物理技术进行评估,包括等温滴定量热法、荧光偏振以及表面等离子体共振等。回顾性分析表明,协同性往往与降解效力、最大降解程度和选择性相关联。除经验分析之外,近年来研究者也开始关注通过计算方法预测协同性,并利用三元复合物结构信息,通过调节连接子来实现理性增强协同性的设计策略。基于结构指导的连接子优化已在SMARCA2/4部分降解剂的研究中得到展示,其中含PEG连接子的PROTAC 2通过引入可与VHL中Y98发生
结构研究同样有助于揭示PROTAC存在时蛋白伴侣的构象可塑性,从而为进一步设计提供线索。例如,针对DCAF1-WDR5 PROTAC的研究表明,随着连接子长度增加,蛋白-蛋白界面会发生动态重排,进而提升协同性和降解效率。与协同性密切相关的三元复合物稳定性和寿命,也被用于解释效力提升的来源,这一点在VHL介导的KRAS PROTAC结构指导设计中已有详细报道。然而,需要强调的是,具有协同性的PROTAC并不必然具备功能性,反之,缺乏协同性的PROTAC也可能表现出显著的降解活性。以cIAP1介导的BTK降解剂研究为例,系统的建模、核磁共振和晶体学分析显示,一种相对高效但柔性的非协同**PROTAC BC5P **(图3d) 能够形成多种动态的三元复合物。在该体系中,通过结构指导对连接子进行刚性化得到的BCPyr,虽然显著提高了协同性并延长了三元复合物半衰期,却导致
总体而言,尽管理论上可行,但在缺乏三元复合物结构信息的情况下,以协同性为直接设计目标仍然极具挑战性。即便获得了三元复合物结构,在设计中也需保持谨慎,因为这些结构未必对应真正触发降解的构象,从而可能对基于结构的药物设计产生误导。此外,为调节协同性和动力学而对PROTAC进行的结构修改,往往会同时影响溶解度和细胞通透性等性质,使药理效应变化的直接归因变得复杂。在实际研发经验中,优化通常并非直接针对协同性或动力学参数,而是优先追求细胞中可重复的降解功能,随后在先导优化阶段重点改善理化性质。

图3 | 连接子设计对PROTAC协同性与药理性质的调控作用。 a, 在基于VHL的LRRK2降解剂中,仅对连接子内单一立体中心进行构型反转,即可引发靶蛋白降解行为的显著变化。b, 通过结构指导对柔性连接子进行刚性化改造,在基于VHL的SMARCA2降解剂中实现了协同性和效力的同步提升。c, 化合物2和3分别与SMARCA2和VHL结合时的晶体结构叠合示意图,对应的蛋白数据库编号为6HAY(紫色碳原子)和6HAX(绿色碳原子)。插图展示了PROTAC在蛋白结合位点中的叠合细节。d, 在招募cIAP1的BTK降解剂中,对柔性连接子进行刚性化处理虽然提升了协同性,却导致整体降解效力下降。协同性参数
4 PROTAC命中化合物发现的实用策略
可溶、可透膜、具备协同性且具有功能性的PROTAC在设计上具有显著挑战性,这促使化学家越来越多地借助高通量实验(HTE),以经验驱动的方式并行合成大量PROTAC用于命中化合物筛选。这类策略通常依托预先构建的多样化通用中间体,其核心结构多由E3连接酶配体及其上引入的连接子官能团组成。中间体上的反应位点可以与相应的靶蛋白配体发生稳定可靠的偶联反应,从而快速生成PROTAC,常用的化学转化包括酰胺偶联、叠氮点击反应、多组分反应以及Staudinger连接等。随着该领域逐步成熟,尤其是在基于CRBN的PROTAC研究中,中间体设计中越来越多地引入所谓的“优势连接子”,例如具有更少可旋转键的结构 (图4a)。这类连接子能够在研发早期即生成兼具合适药理活性和较优理化性质的先导样化合物。由于该经验性策略表现出高度成功性,其应用已进一步扩展至nanoSAR以及“直接进入生物学评估”的研究模式。通过将合成规模由微摩尔级缩小至纳摩尔级,并省略纯化步骤,研究人员能够以更高效率、更可持续的方式合成并测试数百种化合物。总体来看,HTE在PROTAC命中化合物发现的早期阶段具有重要价值,尤其适用于快速考察不同E3连接酶配体和靶蛋白配体的组合,连接子的长度与组成,以及连接子在两端配体上的连接位点,这些因素共同决定了是否能够获得具有活性的PROTAC。然而,该策略并不必然以理化性质为优化核心,在某些情况下反而可能引入并非最优的结构单元,例如酰胺、双酰胺或三唑等官能团。
除HTE之外,DNA编码化合物库(DEL)技术也为PROTAC设计中化学空间的拓展提供了有力工具。DEL已成为小分子药物命中发现的重要手段,其特点是在极大规模的化合物库中,将每个分子与一段可读取的DNA条码相连,从而在基于亲和力的筛选后实现快速识别。多项研究表明,偏向E3连接酶的DEL可用于PROTAC发现,通过构建大量异双功能分子,实现对E3和靶蛋白的亲和筛选。近期报道的一项研究采用拆分-混合策略合成了基于三嗪骨架的VHL偏向DEL (图4b),在第一轮合成中仅使用13种连接子官能团将已知VHL配体连接至三嗪核心,随后在第二和第三轮分别引入290和249种构建模块,最终获得规模约为94万成员的化合物库。通过DEL筛选,研究人员识别出对三元复合物具有显著富集效应的协同分子,并成功获得一种对BRD9 (图4c) 具有高协同性(
尽管DEL在PROTAC研究中的应用仍存在一定局限性,例如DNA分子体积较大可能影响分子行为,但其在命中化合物识别和快速筛选方面所提供的巨大化学空间覆盖仍具有不可替代的优势。在获得具有合适

图4 | 高通量实验促进PROTAC命中化合物的发现。 a, Plesniak等人提出的代表性E3连接酶中间体4–6,其所包含的“优势连接子”能够快速生成具有先导特征的PROTAC。b, 偏向Von Hippel–Lindau蛋白(VHL)的DNA编码化合物库设计,用于识别能够与VHL和溴结构域蛋白9(BRD9)形成三元复合物的异双功能分子。c, 一种高效且具有协同性的VHL介导BRD9降解剂7。所有结构均通过颜色区分不同组成部分,其中靶蛋白(POI)配体为绿色,连接子为紫色,E3连接酶配体为蓝色。BBs表示构建模块。
5 PROTAC体内性质的优化
除决定靶点有效浓度的降解效力
尽管在疗效等效性和适用人群方面需要谨慎比较,但已有报道的Ⅲ期临床PROTAC给药剂量与直接拮抗剂或抑制剂相比相当,甚至在某些情况下更高。这一现象尤其值得关注,因为前文已指出PROTAC具有事件驱动和“催化式”的药理特征,并且在常见药理靶点上能够实现很高的体外效力。以雄激素受体靶向PROTAC为例,ARV-110的给药剂量为每日一次420 mg,BMS-986365为每日两次300或400 mg,其剂量水平与阿帕鲁胺、恩杂鲁胺和达罗他胺等直接拮抗剂处于相近范围。对于雌激素受体靶向PROTAC ARV-471,其Ⅲ期临床剂量为每日一次200 mg,明显高于选择性雌激素受体调节剂他莫昔芬常用的每日20–40 mg。尽管目前可用于比较的靶点数量有限,但考虑到PROTAC通常具有较高效力且所需靶点占据比例较低,理论上应对应较低的游离靶点浓度,这一结果仍显得出人意料,并提示较高的PROTAC给药剂量往往源于较低的吸收比例和或较高的内在清除率。
尽管PROTAC在分子量等方面明显超出传统口服药物的理化性质指导原则,在设计过程中尽可能遵循小分子药物的基本设计理念仍然具有积极意义。例如,通过减少氢键供体数量,如将酰胺替换为酯,或通过形成分子内氢键(IMHB)对氢键供体进行屏蔽,均有助于提升膜通透性。然而,这一理化空间也带来了新的挑战,尤其是在高脂溶性区域,标准筛选实验往往因溶解度低和对实验器材的非特异性吸附而难以获得可靠数据。此外,对于PROTAC而言,诸如总极性表面积(tPSA)和计算分配系数(clogP)等常用于分子量不超过500 Da、符合五规则(Ro5)口服药物的计算性质,往往与实验测得的极性和脂溶性存在显著偏差。这通常被归因于分子体积增大以及分子内相互作用增强,从而形成更加复杂的构象集合,并使分子在不同外部环境中呈现出极性被掩蔽或暴露的状态。这一现象被称为“分子变色龙”特性,即三维结构能够动态屏蔽极性,使包括PROTAC在内的多种超五规则分子表现出超出预期的膜通透性。因此,在评估PROTAC性质时,结合适当的实验数据来补充计算指标往往至关重要。
5.1 通透性与溶解度的关联
与大多数小分子药物类似,PROTAC的口服吸收是其溶出、溶解度和膜通透性等多种因素共同作用的结果,其中通透性还可能受到外排转运体的影响。因此,溶解度和通透性的筛选通常在药物筛选流程的早期阶段即被引入。
高通量溶解度筛选方法,尤其是基于散射的动力学方法,常用于辅助生物活性数据解读、指导制剂开发并预测生物利用度。然而,已有研究指出,PROTAC的动力学溶解度测定结果对具体实验条件高度敏感,且往往难以解释,因此更推荐采用热力学平衡方法。此外,多项研究也对缓冲液溶解度在理解PROTAC药代动力学行为中的参考价值提出了质疑。基于此,采用生物相关介质被认为更有助于模拟口服吸收过程,在模拟胃液或进食状态模拟肠液条件下,部分临床分子表现出超过100倍的溶解度提升。这一现象与ARV-110和ARV-766在临床前及临床研究中观察到的进食促进吸收效应相一致。
在以提升溶解度为目标的设计中,调节连接子的可质子化能力被提出作为一种有效策略。例如,在通向雄激素受体降解剂ARD-69的化合物系列中,通过引入含氮杂环结构实现了溶解度改善。
通透性则是PROTAC药理活性和药代动力学行为中的关键参数,分别决定其细胞内作用能力和口服吸收潜力。用于评估口服吸收相关通透性的常见方法包括Caco-2、MDCK和LLC-PK1等细胞模型,以及PAMPA等人工膜系统。尽管有研究尝试测定PROTAC的表观通透系数
在缺乏可靠通透性实验手段的情况下,基于理化性质的多参数评分方法逐渐受到关注。例如,针对超五规则分子的AB-MPS方法,基于计算得到的logD、可旋转键数和芳环数,已被探索用于PROTAC评估。为便于在分子设计阶段使用,也有研究提出基于分子量、tPSA、氢键供体和受体数量以及可旋转键和芳环数的多参数评分体系,尽管其预测能力仍建立在较小的数据集之上。
另一种方法是平衡通透性指数BPI,其将重原子数作为分子尺寸指标,并结合logD和极性表面积,其中后两者可由实验测定值替代,以应对PROTAC计算性质不准确的问题。该方法得以实现,依赖于色谱手段测得的logD和实验极性表面积ePSA,这两项技术因具备高通量和大动态范围而在PROTAC研究中得到广泛应用。ePSA此前已成功用于评估宏环类分子及NS5A抑制剂等超五规则药物的通透性潜力。值得注意的是,在一组包含PROTAC在内的超五规则分子中,有研究提出ePSA与计算tPSA之比可作为“分子变色龙”特性的指标,其中较低的比值提示分子更有可能表现出良好的通透性。在整体性质之外,近期对BPI方法的拓展引入了最小最大分子内距离这一参数,作为分子横截面积的估计,从而进一步提升了预测能力。该参数考虑了柔性连接子PROTAC在不同环境中可能呈现的形态变化,即在水相中趋于球形,而在类似细胞膜的脂相环境中趋于杆状。在其他条件相同的情况下,计算结果显示杆状构象的PROTAC更有可能具备良好的通透性和口服生物利用度。针对VHL和CRBN介导的PROTAC开展的核磁共振与分子动力学研究也表明,连接子在不同环境中的动态折叠以及分子内氢键的形成,与PAMPA实验中通透性的提升密切相关。
为改善通透性,一种常用策略是通过分子内疏水塌缩或合理设计分子内氢键来降低构象柔性并增强连接子刚性。这一现象已在VHL介导的BRD4和Bcl-xL降解剂的三元复合物晶体结构中得到观察。此类分子内折叠往往具有瞬时性,并可在水相与膜模拟环境之间发生变化,从而产生分子变色龙特性,在提升溶解度的同时促进被动细胞通透性。VHL介导的SMARCA2降解剂ACBl2即是典型案例,其通过在连接子中引入甲基取代,诱导形成更紧凑的构象集合,从而显著改善口服生物利用度。
另一种同时改善溶解度和通透性的策略是合理利用具有变色龙特性的氢键供体。变温核磁共振是一种解析单个氢键供体贡献的有力工具,通过比较供体氢在极性溶剂DMSO和模拟细胞膜环境的氯仿中,接近生理温度条件下的化学位移变化,可将氢键供体划分为变色龙型、强溶剂化型和类似分子内氢键型三类。以ARV-766为例 (图5),其同时包含三种类型的氢键供体:一种变色龙型氢键供体可提高水相溶解度且不损害通透性,一种弱溶剂化的分子内氢键供体对溶解度和通透性影响较小,而一种强溶剂化氢键供体则会降低通透性但提升溶解度。多种口服临床PROTAC中广泛存在的变色龙型氢键供体屏蔽现象,表明该策略在性质调控中具有较高可行性。
在吸收和细胞摄取过程中,外排转运体的影响同样不可忽视,其中包括ABCB1、ABCG2以及在细胞内通透性方面可能更为关键的ABCC1。细胞药理学实验已表明,PROTAC可作为这些转运体的底物,其表达会导致耐药现象,尽管这一结果在临床层面的意义仍较难界定。与通透性实验类似,常规的双向转运评估也常受到非特异性吸附、低溶解度以及缺乏可测顶端至基底通量等因素的干扰。在大鼠体内研究中,联合使用ABCB1抑制剂encequidar可使ARV-110和ARV-471的表观通透性分别提高1.6倍和2.3倍。然而,在临床给药剂量通常达到数百毫克的背景下,若溶解态药物比例足够高,转运体可能趋于饱和,因此上述现象对临床实践的实际意义仍有待进一步明确。

图5 | 氢键供体对溶解度和通透性贡献的测量。 口服临床PROTAC ARV-766在极性环境和非极性环境中通过¹H-NMR光谱表现出三类不同的氢键供体(HBD)。极性环境条件为DMSO-d6,温度分别为300 K(红色)和320 K(蓝色),用于模拟肠腔或血浆环境;非极性环境条件为CDCl3,温度分别为280 K(红色)和300 K(蓝色),用于模拟细胞膜环境。不同HBD类型可通过温度系数的大小加以区分,温度系数由¹H化学位移变化表示,单位为ppb·K⁻¹。当强溶剂化HBD(橙色标注的NH)或具有变色龙特性的HBD(红色标注的NH)替代烃基结构时,可显著提高分子溶解度,而弱溶剂化的分子内氢键型HBD(紫色标注的NH)对溶解度影响较小。在通透性方面,引入变色龙型或弱溶剂化HBD通常仅引起轻微变化,而强溶剂化HBD则会显著降低通透性。结构配色用于区分不同组成部分,其中靶蛋白(POI)配体为绿色,连接子为紫色,E3连接酶配体为蓝色。↑表示增加,↓表示降低,↔表示无明显变化。NMR数据经许可改编自相关文献,版权归美国化学会所有。
5.2 连接子在PROTAC代谢中的重要性
由于PROTAC通常较其对应的小分子靶蛋白配体具有更高的脂溶性,理论上可预期其内在代谢清除率也会更高。然而,已有研究指出,PROTAC的代谢行为往往反映的是整体分子的性质,而非简单由各组成配体决定。也就是说,即便引入一个代谢稳定性较差的配体,最终形成的PROTAC也不一定表现出较差的代谢稳定性,因为潜在的易代谢位点可能被整体结构所屏蔽。
尽管单个PROTAC分子可能经历多种代谢途径,但已有证据表明,连接子的性质和长度与代谢稳定性之间存在直接关联,至少在线性PEG和烷基连接子的研究体系中尤为明显。因此,通过连接子构象刚性化来降低代谢风险,已成为一种被积极探索的策略。例如,在一系列BTK降解剂的研究中,最初采用PEG连接子的先导化合物在小鼠肝微粒体中的半衰期仅为1.3 min;而在优化化合物中,将PEG连接子替换为乙基桥连的双哌啶结构后,半衰期显著提升至145 min以上。需要指出的是,在上述案例中,E3连接酶配体也同时发生了改变,而已有研究显示,即便在连接子和靶蛋白配体保持不变的情况下,E3配体的变化本身也可能对分子整体性质产生显著影响,尤其是在口服暴露方面。因此,单纯将代谢改善归因于连接子调整仍需谨慎解读。值得注意的是,即便在构象受限程度较高的连接子体系中,连接子断裂的代谢途径仍然可能发生,这一点已在¹⁴C标记的ARV-110和A947的研究中得到验证。
通过连接子断裂产生的代谢物,在结构上往往与其来源的母体分子高度相似,并且具有较高概率保留对靶蛋白的结合亲和力。这类代谢物可能通过与靶蛋白或E3连接酶竞争性结合,抑制三元复合物的形成,从而削弱PROTAC的降解作用。相关研究中报道,PROTAC AZ′6421在体内诱导的靶蛋白降解受到一种代谢物生成的限制,该代谢物对雌激素受体α的结合亲和力与母体PROTAC几乎相当,分别低于0.6 nM和0.5 nM。然而,需要注意的是,这类代谢物也可能本身对疗效产生贡献,既可以作为靶蛋白的直接拮抗剂或抑制剂,在AZ′6421的案例中,其代谢物还保留了源自选择性雌激素受体降解剂的单价降解特性。
目前已公开结构并实现口服给药的临床阶段PROTAC几乎均采用CRBN作为E3连接酶,这一现象也引出了关于代谢物药理学的新问题。CRBN最早被发现是沙利度胺的分子靶点,随后沙利度胺及其他免疫调节酰亚胺类药物的分子胶降解作用机制被系统阐明。因此,从理论上推测,源自PROTAC中CRBN结合片段的代谢物可能表现出分子胶特性,进而通过诱导非预期底物的降解而带来潜在毒性风险,尽管目前尚无此类实例被报道。
通过识别能够最大程度降低连接子断裂风险及整体代谢敏感性的连接子设计方案,不仅有助于减少具有潜在药理活性的代谢物所带来的复杂性,也可能降低所需给药剂量。后续章节将结合经验观察,进一步讨论药物化学家如何在分子设计过程中利用这些代谢相关信息。
6 应对PROTAC药物化学挑战的策略
PROTAC的优化通常依托合成驱动的经验性研究路径展开。连接子的初步探索多采用全碳链、含醚链段或PEG连接子,以确定合适的长度以及与两端配体的连接向量。在此基础上,连接子的进一步演化,尤其是在基于CRBN的PROTAC体系中,逐渐朝着构象受限方向发展,常通过引入环状结构来降低柔性,从而提升降解效力、选择性以及整体理化性质。近年来,在连接子中引入带有可调
通过杂环体系实现连接子刚性化的策略在口服临床阶段PROTAC中出人意料地普遍,其中以哌啶、哌嗪和吡咯烷等杂环通过单一亚甲基连接的结构最具代表性,在保留最低限度旋转自由度的同时实现了构象控制。这一“优势连接子”结构已在多种临床PROTAC中得到体现,包括ARV-471、ARV-110、ARV-766、BGB-16673、NX-2127和NX-5948 (图6)。类似的连接子修饰策略不仅在临床候选物中得到验证,在临床前研究中同样展现出良好效果。例如,采用该类设计的BET蛋白降解剂在小鼠中表现出良好的口服生物利用度,而雄激素受体降解剂则显示出优异的口服体内药代动力学性质。
随着PROTAC相关数据集的不断积累,研究者开始系统评估PROTAC整体及单一理化性质对临床前物种口服吸收的影响。相关分析分别基于肠道吸收分数与肠壁首过代谢逃逸分数乘积以及直接测定的口服生物利用度,并一致得出结论,即控制“未满足”或暴露于溶剂中的氢键供体数量是至关重要的设计参数,理想情况下应限制在两个或以下,这一要求明显严于Lipinski五规则中允许的五个氢键供体。这一基于经验的数据观察,在一定程度上解释了为何进入临床并实现口服给药的PROTAC多采用CRBN作为E3连接酶,其配体通常仅包含一个氢键供体,而基于VHL的配体往往具有2–3个氢键供体。相比之下,其他指标如暴露的氢键受体数量、实验极性表面积以及脂溶性等,即便超出五规则或Veber规则所建议的上限,在一定范围内仍可被接受。这些关于PROTAC理化性质要求的认识,与首批临床分子的出现几乎同步形成。
因此,观察这些设计原则如何在成功进入临床的分子中得到体现,对于理解其合理性具有重要意义,相关内容将在下一节中进一步展开。

图6 | 临床开发阶段的PROTAC。 已公开结构并进入临床试验的20种PROTAC分子示意图。PROTAC由靶蛋白(POI)结合片段(绿色)、连接子(紫色)和E3连接酶结合片段(蓝色)组成。图中标注了化合物编号、研发公司以及POI:E3连接酶配对关系。不同颜色的圆点表示临床开发阶段:深绿色表示Ⅲ期,浅绿色表示Ⅱ期,橙色表示Ⅰ期,紫色表示已终止。默认给药途径为口服,以星号标注的化合物为静脉给药。上述化合物及其计算得到的分子性质汇总表见补充信息中的补充表1和补充图1。CRBN表示cereblon。
7 来自临床阶段的经验总结
截至2025年4月,已有20种结构公开的PROTAC推进至临床阶段。除KT-474是一种用于炎症治疗的IRAK4降解剂外,其余均针对肿瘤适应症。绝大多数临床PROTAC采用CRBN作为E3连接酶,仅DT-2216、KT-333、PRT-3789和ASP-3082使用VHL。这些分子已在图6中按给药途径进行了归类。在撰写该文时,ARV-471是进展最快的PROTAC,已进入ER阳性乳腺癌的Ⅲ期临床研究,BMS-986365和BGB-16673也已相继推进至Ⅲ期。除因战略原因终止的ARV-110和KT-413,以及在滑膜肉瘤中疗效不足而终止的CFT-8634外,其余项目仍处于活跃开发阶段。
在采用CRBN作为E3连接酶的PROTAC中,最早进入临床的分子使用了来源于来那度胺或泊马度胺的IMiD结构单元,例如ARV-471和ARV-110,尽管这类结构在潜在新底物降解、化学稳定性和差向异构化方面存在挑战。随后,多种改良的戊二酰亚胺连接方式被引入,通过分子内氢键模拟IMiD药效团、引入咪唑酮或苯胺结构,在一定程度上缓解了上述问题。近年来,完全消除了外消旋风险的二氢尿嘧啶结构也被引入,反映出适用于PROTAC的E3配体体系正在不断演化。
临床阶段PROTAC所采用的连接子,通常代表了各自研发项目中经充分优化后在多种性质之间取得的最佳平衡。图7选取了若干临床PROTAC实例,重点展示其在向临床候选物演进过程中连接子设计的变化。
雌激素受体是激素受体阳性乳腺癌治疗中已被充分验证的临床靶点。现有治疗手段包括抑制内源性配体合成的芳香化酶抑制剂、拮抗ER信号的他莫昔芬,以及兼具拮抗与降解作用的氟维司群。为应对包括ESR1突变在内的耐药问题,可口服的ER降解剂和PROTAC的开发成为研究重点。
ER靶向PROTAC ARV-471源自一项系统探索多种ER和E3配体的研究,最初获得了具有良好
BTK是B细胞受体信号通路中的一种非受体型激酶,不仅在正常B细胞的发育和功能中发挥关键作用,也对恶性B细胞群体的增殖与存活至关重要。因此,利用小分子抑制剂抑制BTK已被确立为治疗多种血液系统恶性肿瘤的高效策略。然而,随着耐药突变的出现,小分子抑制剂的疗效逐渐受限,这促使研究者探索通过PROTAC介导的蛋白降解作为调控该通路的替代手段。
Nurix Therapeutics开发了NX-2127这一新型BTK降解剂,其能够分别通过PROTAC机制和分子胶机制同时降解BTK和IKZF1/3 (图7B)。该项目最初通过将BTK的DEL命中化合物与一组基于沙利度胺的CRBN连接子组合库进行偶联,鉴定出环脲结构的先导降解剂11。在此基础上,通过对连接子进行刚性化处理,并将其在沙利度胺衍生CRBN配体上的连接位点调整至5位取代,显著增强了对BTK和IKZF3的细胞内活性,形成了化合物NX-0492。
NX-0492较低的口服生物利用度使其有必要进行进一步优化,同时其较高的血液与血浆分配比也可能增加了人体剂量预测的复杂性。尽管在保持良好体内靶蛋白降解效果的前提下,对连接子或CRBN配体的进一步修饰未能取得成功,但在保留已优化连接子的基础上,去除BTK配体中的脲基结构,最终获得了NX-2127。该化合物表现出更高的口服生物利用度和更优的体内活性。值得注意的是,NX-0492在体外表现出显著更低的
V-Raf小鼠肉瘤病毒癌基因同源物B(BRAF)是一种致癌基因,编码位于MAPK信号通路中的丝氨酸-苏氨酸蛋白激酶B-Raf,该通路在调控细胞增殖与存活中发挥关键作用。BRAF的突变形式,如V600E,会使激酶结构域持续处于激活状态,从而使信号通路不再依赖上游刺激而自主激活。针对BRAF-V600E突变的小分子抑制剂,包括达拉非尼、恩考拉非尼和维莫非尼,已在临床上获得成功应用,既可作为单药治疗,也可与MAP2K(MEK)抑制剂联合使用。然而,随着持续给药,耐药性的产生逐渐限制了其长期疗效。因此,研究者开始探索基于蛋白降解的策略,以期克服耐药问题,并有望实现更为深度和持久的信号通路抑制。
C4 Therapeutics报道了一个具有突变选择性的BRAF-V600E PROTAC,该分子能够选择性降解BRAF-V600E,从而有望应对BRAF抑制剂相关的耐药机制。尽管研究最初集中于氮杂吲哚系列,但在清除率和口服生物利用度方面,喹唑啉酮骨架显示出更优的综合表现,因此被选定为更合适的靶蛋白配体起点。以该系列中含有丙基哌啶连接子的早期先导化合物12为基础,研究人员借助三元复合物建模识别能够增强PROTAC构象刚性的连接子设计,从而促进形成更具生产性的三元复合物 (图7C)。引入螺环结构的连接子在同时改善降解行为、代谢清除率和口服生物利用度方面发挥了关键作用,代表性化合物为螺环哌啶13。随后,通过对CRBN配体的进一步修饰,获得了降解效力更高的化合物,如引入吲唑结构的14。最终,通过继续优化与E3配体相连的连接子,进一步提高构象刚性并降低溶剂可及表面积,显著改善了口服生物利用度,并促成了临床候选物CFT-1946的诞生。
IRAK4在白细胞介素-1受体和Toll样受体相关的信号通路中发挥关键作用,这些通路与自身免疫反应密切相关。其功能依赖于名为myddosome的多蛋白复合物的形成,该复合物结合IRAK4的激酶活性,可激活多种促炎性细胞因子和趋化因子,从而引发或加重自身免疫性疾病。尽管已有多种IRAK4抑制剂进入临床研究阶段,但尚无药物成功上市,主要受限于选择性不足和疗效有限等问题。这在一定程度上源于传统抑制剂无法影响IRAK4在信号复合物中的关键支架功能。因此,通过降解策略同时去除IRAK4的激酶活性和支架功能,被认为有望实现更为深入和持久的通路抑制效果。
KT-474是首个用于非肿瘤适应症、具备口服生物利用度的IRAK4异双功能降解剂,目前正处于自身免疫疾病的临床试验阶段 (图7D)。鉴于非肿瘤领域对安全性的更高要求,研究过程中刻意避免了多种CRBN配体(包括IMiDs)常见的、源自分子胶机制的新底物降解活性。已有研究阐明,CRBN介导的分子胶通过促进新底物G-loop与CRBN之间的关键相互作用来诱导降解。基于CRBN-泊马度胺-Aiolos三元复合物结构可以看出,泊马度胺和来那度胺中的芳香区域能够与Aiolos的Gly151以及CRBN的Pro352发生关键相互作用。为消除这种新底物相互作用,Kymera Therapeutics通过引入稠合的环状脲结构,将该芳香基团进一步靠近CRBN (图7d,蓝色),同时保留戊二酰亚胺部分与CRBN中His380和Trp382的关键相互作用,以维持对CRBN的亲和力。
在选用高效且具有选择性的IRAK4配体的基础上,研究系统评估了连接子长度。结果表明,含有13个原子的聚乙二醇连接子15表现最佳,而更短的连接子则导致效力下降。在保持该长度不变的前提下,结合既有经验,在连接子中引入环己胺结构16,进一步提升了亲和力和降解效力。鉴于氢键供体数量增加通常与口服生物利用度降低相关,随后对含有伯胺的IRAK4配体进行了修饰。直接删除或甲基化该氨基均导致活性丧失,而采用桥连吗啉结构则既能维持降解效力,又能改善通透性,使大鼠口服生物利用度达到3%。在此基础上,继续保持连接子长度不变,通过将脂肪胺环化为哌啶并引入炔基结构,在进一步刚性化连接子的同时降低了侧链氧原子的电子密度,从而改善被动通透性,最终获得了KT-474。该化合物表现出更低的代谢水平和更高的口服生物利用度,在大鼠中达到12%,在食蟹猴中为13%,在犬中则略高,达到35%。
总体而言,在保持最优连接子长度的前提下进行结构优化,能够在维持良好效力的同时显著改善口服生物利用度并降低代谢清除率。这些实例表明,连接子优化通常遵循清晰的发展轨迹,包括确定靶蛋白与E3连接酶之间的最优距离、明确E3配体的最佳连接向量,以及通过构象刚性化提升整体性质。与此同时,去除多余的氢键供体和引入碱性氮原子,也是多种已公开临床PROTAC中反复出现的设计主题。值得注意的是,连接子的优化始终与E3配体和靶蛋白配体的同步修饰相结合,体现了将PROTAC视为整体系统进行优化的设计理念。

图7 | 四种已进入临床阶段的代表性PROTAC的设计演化过程。 Aa, 雌激素受体(ER)降解剂ARV-471的研发过程,用于治疗ER阳性乳腺癌。Ab, ARV-471的晶体NMR结构(深色)与溶液NMR结构(浅色)的三维叠合图,二者表现出高度一致性,均方根偏差为1.9 Å,连接子中仅保留两个可旋转键(箭头所示)。B, BTK降解剂NX-2127的研发过程,用于治疗血液系统恶性肿瘤。C, 突变型BRAF降解剂CFT-1946的研发过程,用于治疗BRAF驱动型肿瘤。D, IRAK4降解剂KT-474的研发过程,用于治疗自身免疫性疾病。颜色标注表示PROTAC的不同组成部分:绿色表示靶蛋白(POI),紫色表示连接子,蓝色表示E3连接酶。↑表示增加,↓表示降低。CL表示清除率,CRBN表示cereblon,
3 讨论和展望
近年来,PROTAC领域取得了异常迅速的发展,并在这一过程中不断挑战人们对药物理化性质的传统认知。多数进入临床阶段的PROTAC能够实现口服给药这一事实,促使研究者重新审视此前基于小分子药物提出、用于指导口服生物利用度的规则化性质边界。
值得注意的是,目前所有已公开结构且可口服给药的PROTAC均采用CRBN作为E3连接酶,尽管并非所有基于CRBN的PROTAC都具备口服活性。CRBN配体因其分子量较低且仅包含一个必需的氢键供体,在药代动力学表现和跨多种靶点的可靠药理活性方面具有显著优势,这也促成了其在临床PROTAC中的广泛应用。在此基础上,围绕CRBN的配体体系已从最初的IMiD结构不断演化,通过引入新的结合基序,在解决化学稳定性和安全性问题、尤其是消除新底物相关药理效应方面,实现了重要的多样化与化学创新。
与此同时,连接子区域的系统优化也是PROTAC从生物学研究工具成功跃迁为口服药物的关键因素之一。通过提升降解效力、代谢稳定性和膜通透性,连接子设计在这一过程中发挥了核心作用。构象刚性化、引入碱性适中且受控的氮原子,以及去除或屏蔽氢键供体,反复出现在已进入临床阶段的PROTAC连接子设计中,并最终形成了在临床分子中可观察到的“优势结构模式”。需要强调的是,PROTAC通常并非对靶蛋白配体、连接子和E3配体进行孤立优化,而是将三者作为一个整体协同调控,以实现整体性质的最优平衡。
作者在写该文时,VHL是除CRBN之外唯一被用于生成临床阶段PROTAC的E3连接酶。然而,由于现有VHL配体通常体积较大、具有肽样特征且至少包含两个氢键供体,这类PROTAC目前均需通过静脉给药。尽管在该方向上已取得一定改进,VHL在PROTAC中的全部潜力仍受到已知结合基序性质的限制,围绕VHL配体的进一步创新有望拓展其应用空间。因此,扩大可用于PROTAC设计的E3连接酶范围,并开发能够支持口服给药的相应配体体系,构成了该领域中一个明确且重要的发展机遇。这不仅将为解决溶解度和内在清除率等共性挑战提供更多可能性,也有助于进一步发挥PROTAC药理机制的独特优势。
截至目前,在已公开的PROTAC研究中,被实际利用的E3连接酶仅占全部已知或推测E3连接酶基因的极小比例,不足2%。基于CRBN体系所积累的经验在多大程度上能够推广至其他E3连接酶配体,仍有待进一步验证。然而,通过连接子刚性化、引入碱性氮原子以及缩短连接子长度等原则来改善溶解度和通透性的设计思路,很可能在不同E3连接酶体系中具有一定的普适性。将缩短连接子长度这一原则推向极端,有研究尝试完全去除连接子,通过将单个氨基酸降解基序直接连接至靶蛋白配体,构建无连接子的氨基酸型PROTAC。然而,鉴于同时结合两个蛋白所固有的结构约束,这一策略能否在更广泛的靶点和体系中适用,仍有待进一步证明。
除经典PROTAC之外,由双功能配体诱导蛋白近邻的概念已扩展至多种调动泛素-蛋白酶体系统的替代策略,这些新形式有望借鉴口服PROTAC研究中形成的设计原则,从而加速自身的发展进程。此外,尽管仍处于非常早期的探索阶段,其他诱导近邻型药理模式,例如诱导磷酸化的嵌合体、靶向去泛素化酶的嵌合体以及受调控的诱导近邻靶向嵌合体,同样可能从PROTAC领域积累的经验中受益。
随着首批PROTAC化合物已进入Ⅲ期临床试验,以及数量可观、覆盖不断扩展的分子靶点和治疗领域的项目处于更早期的临床开发阶段,同时产业界与学术界对该模式的发现、优化与应用机制的理解持续加深,PROTAC这一药理策略的整体潜力正逐步得到充分释放。